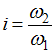
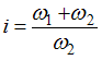
Передаточное отношение i механической передачи при известных угловых скоростях вращения звеньев Изображение вопроса Передаточное отношение i механической передачи при... и Изображение вопроса Передаточное отношение i механической передачи при... рассчитывается по формуле …
Изображение вопроса Передаточное отношение i механической передачи при...
• 
• 
• 
• 
Тема: Кинематический анализ зубчатых механизмов
Предмет: Механика (Теория механизмов и машин)