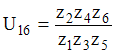
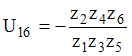
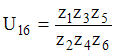
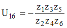
Передаточное отношение редуктора, изображенного на рисунке, вычисляется формулой …
Изображение вопроса Передаточное отношение редуктора, изображенного на...
• 
• 
• 
• 
Тема: Кинематический анализ зубчатых механизмов
Предмет: Механика (Теория механизмов и машин)