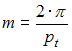
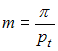
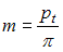
Модуль зацепления m для зубчатого колеса с окружным шагом pt равен …
Изображение вопроса Модуль зацепления m для зубчатого колеса с окружны...
• 
• 
• 
• 
Тема: Синтез эвольвентного зацепления
Предмет: Механика (Теория механизмов и машин)