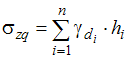
Вертикальное природное давление грунта
неоднородного водонепроницаемого основания на глубине h от природного рельефа определяется формулой … (где n – число разнородных слоев в пределах глубины h;
– толщина i–го слоя;
– удельный вес грунта i–го слоя;
– удельный вес частиц грунта i–го слоя;
– удельный вес сухого грунта i–го слоя;
– удельный вес грунта с учетом взвешивающего действия воды).
неоднородного водонепроницаемого основания на глубине h от природного рельефа определяется формулой … (где n – число разнородных слоев в пределах глубины h;
– толщина i–го слоя;
– удельный вес грунта i–го слоя;
– удельный вес частиц грунта i–го слоя;
– удельный вес сухого грунта i–го слоя;
– удельный вес грунта с учетом взвешивающего действия воды).• 

• 

• 

• 
