
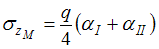
Вертикальное напряжение
в точке М на глубине
на вертикали, проходящей через край площадки с размерами
и
, загруженной равномерной нагрузкой
, где
− природное давление на глубине
− коэффициенты затухания напряжений для площадок, соответственно,
,
и
, определяемые по СНиП 2.02.01 – 83* «Основания зданий и сооружений», вычисляется по формуле …• 

• 

• 

•
=
=