Изображение вопроса Соотношение сил и давлений в мультипликаторе, изоб...
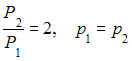
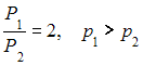
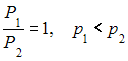
Соотношение сил и давлений в мультипликаторе, изображенном на рисунке, удовлетворяет соотношению …
• 
• 
• 
• 
Тема: Закон Паскаля, эпюры давления, силы давления жидкостей на плоские и криволинейные поверхности
Предмет: Механика (Гидравлика)