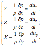
Дифференциальное уравнение движения невязкой жидкости – уравнение Эйлера имеет следующий вид …
• 
• 
• 
• 
Тема: Динамика невязкой жидкости: дифференциальные уравнения движения невязкой жидкости (уравнение Эйлера), уравнение Бернулли для установившегося движения несжимаемой жидкости, энергетическая интерпретация уравнения Бернулли
Предмет: Механика (Гидравлика)