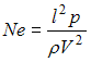
Критерий Ньютона имеет вид ______, где
– плотность, l – геометрический параметр, V – скорость, P – сила.
– плотность, l – геометрический параметр, V – скорость, P – сила.•
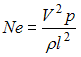
, где 
, где 
•
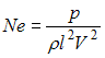
, где 
, где 
•
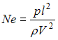
, где 
, где 
•
, где 
, где 
– плотность, l – геометрический параметр, V – скорость, P – сила.
, где 
, где 
, где 
, где 