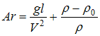
Критерий Архимеда имеет вид _______, где l – линейный параметр, V – скорость,
– разность плотностей, g – ускорение свободного падения.
– разность плотностей, g – ускорение свободного падения.•
, где 
, где 
•
, где 
, где 
•
, где 
, где 
•
, где 
, где 