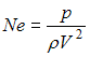
Критерий Эйлера имеет вид __________, где
– плотность, p – давление, l – геометрический параметр, V – скорость, P – сила.
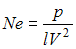
– плотность, p – давление, l – геометрический параметр, V – скорость, P – сила.•
, где 
, где 
•
, где 
, где 
•
, где 
, где 
•
, где 
, где 