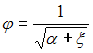
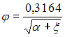
Коэффициент скорости при истечении определяется выражением …
• 
• 
• 
• 
Тема: Истечение через малое незатопленное отверстие, коэффициент сжатия струи, скорости и расхода
Предмет: Механика (Гидравлика)