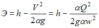
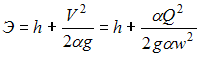
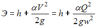
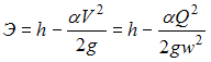
Удельная энергия сечения открытого потока определяется по зависимости ________ , где Q – расход потока, м3/с; w – площадь живого сечения потока, м2; V – скорость потока в данном сечении, м/с; h – глубина потока в данном сечении, м; g – ускорение свободного падения, м/с2.
• 

• 

• 

• 
