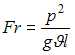
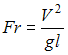
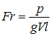
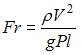
Критерий Фруда имеет вид ______, где
– плотность, p – давление, l – геометрический параметр, V – скорость, P – сила,
– кинематическая вязкость, g – ускорение свободного падения.
– плотность, p – давление, l – геометрический параметр, V – скорость, P – сила,
– кинематическая вязкость, g – ускорение свободного падения.•
, где 
, где 
•
, где 
, где 
•
, где 
, где 
•
, где 
, где 