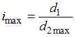
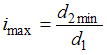
Для изображенной схемы лобового вариатора максимальное передаточное отношение imax равно …
Изображение вопроса Для изображенной схемы лобового вариатора максимал...
• 
• 
• 
• 
Тема: Фрикционные передачи и вариаторы
Предмет: Механика (Детали машин и основы конструирования)