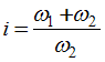
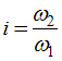
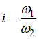
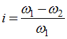
Передаточное отношение i механической передачи при известных угловых скоростях вращения Изображение вопроса Передаточное отношение i механической передачи при... и Изображение вопроса Передаточное отношение i механической передачи при... рассчитывается по формуле …
Изображение вопроса Передаточное отношение i механической передачи при...
• 
• 
• 
• 
Тема: Механические передачи
Предмет: Механика (Детали машин и основы конструирования)