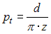
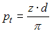
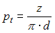
Окружной шаг pt зубчатого колеса с числом зубьев z и диаметром делительной окружности d связан зависимостью …
Изображение вопроса Окружной шаг pt зубчатого колеса с числом зубьев z...
• 
• 
• 
• 
Тема: Цилиндрические зубчатые передачи
Предмет: Механика (Детали машин и основы конструирования)