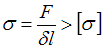
Условие прочности стыкового сварного соединения, с указанными на рисунке размерами и нагрузкой, при известных допускаемых напряжениях шва
и материала деталей
записывается …

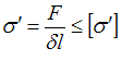
и материала деталей
записывается …
• 

• 

• 

• 

и материала деталей
записывается …



