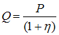
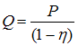
В червячной передаче мощность на ведущем валу P и коэффициент полезного действия η, количество выделяющейся теплоты Q равно …
• 
• 
• 
• 
Тема: Передачи червячные
Предмет: Механика (Детали машин и основы конструирования)