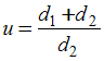
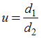
Передаточное число u механической передачи при известных диаметрах зубчатых колес Изображение вопроса Передаточное число u механической передачи при изв... и  Изображение вопроса Передаточное число u механической передачи при изв... может быть рассчитано по формуле …
Изображение вопроса Передаточное число u механической передачи при изв...
• 
• 
• 
• 
Тема: Механические передачи
Предмет: Механика (Детали машин и основы конструирования)