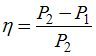
Коэффициент полезного действия передачи η с мощностью P1 на ведущем и P2 на ведомом валу определяется по формуле …
Изображение вопроса Коэффициент полезного действия передачи η с м...
• 
• 
• 
• 
Тема: Механические передачи
Предмет: Механика (Детали машин и основы конструирования)