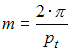
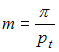
Модуль зацепления m для зубчатого колеса с окружным шагом pt рассчитывается …
Изображение вопроса Модуль зацепления m для зубчатого колеса с окружны...
• 
• 
• 
• 
Тема: Цилиндрические зубчатые передачи
Предмет: Механика (Детали машин и основы конструирования)