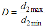
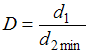
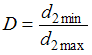
Для изображенной схемы лобового вариатора диапазон регулирования D равен …
Изображение вопроса Для изображенной схемы лобового вариатора диапазон...
• 
• 
• 
• 
Тема: Фрикционные передачи и вариаторы
Предмет: Механика (Детали машин и основы конструирования)