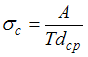
При расчете на прочность зубчатых соединений (с площадью смятия
, средним диаметром
), нагруженных моментом
, напряжения смятия …

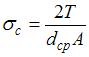
, средним диаметром
), нагруженных моментом
, напряжения смятия …
• 

• 

• 

• 

, средним диаметром
), нагруженных моментом
, напряжения смятия …



