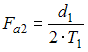
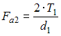
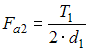
В червячной передаче осевая сила Fa2 на червячном колесе равна …
Изображение вопроса В червячной передаче осевая сила Fa2 на червячном ...
• 
• 
• 
• 
Тема: Передачи червячные
Предмет: Механика (Детали машин и основы конструирования)