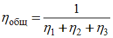
При известных составляющих коэффициентах полезного действия механической передачи η1, η2, η3 ее общий коэффициент полезного действия ηобщ равен …
Изображение вопроса При известных составляющих коэффициентах полезного...
• 
• 
• 
• 
Тема: Механические передачи
Предмет: Механика (Детали машин и основы конструирования)