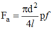
В клеммовом соединении диаметром d и длиной ступицы l после затяжки винтов по поверхности контакта распределено давление p. Допустимая осевая нагрузка
, при коэффициенте трения f составит …
, при коэффициенте трения f составит …• 

• 

• 

• 

, при коэффициенте трения f составит …


