Математика – страница 93

В пространстве Изображение вопроса В пространстве задано векторное поле , где , .  
 ...задано векторное поле Изображение вопроса В пространстве задано векторное поле , где , .  
 ..., где Изображение вопроса В пространстве задано векторное поле , где , .  
 ..., Изображение вопроса В пространстве задано векторное поле , где , .  
 ....
Тогда в точке Изображение вопроса В пространстве задано векторное поле , где , .  
 ... ротор этого поля имеет значение …

Устройство состоит из двух элементов, работающих независимо. Вероятности безотказной работы этих элементов (в течение рабочего дня) равны соответственно 0,8 и 0,9. Тогда вероятность того, что в течение рабочего дня  будут работать безотказно оба элемента, равна …

В пространстве Изображение вопроса В пространстве  определено скалярное поле . Тогда ... определено скалярное поле Изображение вопроса В пространстве  определено скалярное поле . Тогда .... Тогда в точке Изображение вопроса В пространстве  определено скалярное поле . Тогда ... дивергенция поля Изображение вопроса В пространстве  определено скалярное поле . Тогда ... равна …

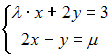
Если система линейных уравнений
Изображение вопроса Если система линейных уравнений  
 , 
 где  –...,
где Изображение вопроса Если система линейных уравнений  
 , 
 где  –... – некоторые числа,
имеет бесконечное множество решений, то Изображение вопроса Если система линейных уравнений  
 , 
 где  –... равно …

Матрицу Изображение вопроса Матрицу  можно преобразовать в эквивалентную ей ма... можно преобразовать в эквивалентную ей матрицу Изображение вопроса Матрицу  можно преобразовать в эквивалентную ей ма... с помощью следующей последовательности элементарных преобразований …

Дано уравнение прямой в общем виде Изображение вопроса Дано уравнение прямой в общем виде . Тогда угловой.... Тогда угловой коэффициент прямой линии, перпендикулярной заданной прямой линии, равен …

В урне лежат 12 шаров, среди которых 7 шаров белые. Наудачу по одному извлекают два шара без возвращения. Тогда вероятность того, что оба шара будут белыми, равна …

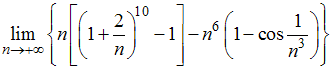
8 Если Изображение вопроса Если , то сумма всех значений квадратного корня из..., то сумма всех значений квадратного корня из Изображение вопроса Если , то сумма всех значений квадратного корня из... равна …

Система линейных уравнений Изображение вопроса Система линейных уравнений  несовместна, если  рав... несовместна, если Изображение вопроса Система линейных уравнений  несовместна, если  рав... равно …

Решение задачи Коши
Изображение вопроса Решение задачи Коши 
 , , 
 имеет вид …..., Изображение вопроса Решение задачи Коши 
 , , 
 имеет вид …...,
имеет вид …


В пространстве Изображение вопроса В пространстве  определено поле , где .  
 Тогда в... определено поле Изображение вопроса В пространстве  определено поле , где .  
 Тогда в..., где Изображение вопроса В пространстве  определено поле , где .  
 Тогда в....
Тогда в точке Изображение вопроса В пространстве  определено поле , где .  
 Тогда в... производная этого поля по направлению, определяемому вектором Изображение вопроса В пространстве  определено поле , где .  
 Тогда в..., равна …

Матрица Изображение вопроса Матрица , после приведения к трапецеидальному виду..., после приведения к трапецеидальному виду может быть записана следующим образом…

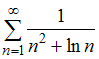
Даны числовые ряды:
1) Изображение вопроса Даны числовые ряды: 
 1) ; 
 2) . 
 Тогда истинным...;
2) Изображение вопроса Даны числовые ряды: 
 1) ; 
 2) . 
 Тогда истинным....
Тогда истинным является высказывание, что …