Математика – страница 91
Проведено пять измерений (без систематических ошибок) некоторой случайной величины (в мм): 8, 10, 11, 13, 16. Тогда несмещенная оценка математического ожидания равна …
Модуль комплексного числа
равен …
равен …Пусть
– множество всех действительных чисел, а
,
,
,
– его подмножества.
Тогда геометрической интерпретацией множества
может служить …
– множество всех действительных чисел, а
,
,
,
– его подмножества.Тогда геометрической интерпретацией множества
может служить …Точка В симметрична точке
относительно оси абсцисс. Тогда расстояние между точками А и В равно …
относительно оси абсцисс. Тогда расстояние между точками А и В равно …Дан ориентированный граф (орграф)
, где
– множество вершин орграфа,

– множество дуг орграфа.
Тогда матрица смежностей орграфа
имеет вид …
, где
– множество вершин орграфа,
– множество дуг орграфа.Тогда матрица смежностей орграфа
имеет вид …Сумма ряда
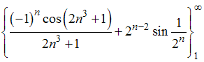
равна …
равна …
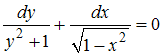
, удовлетворяющий начальному условию
имеет вид …
,
,
,
наименьший положительный период имеет функция …
и
. Если
, то вектор
равен …
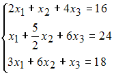
,
,
являются решением системы линейных уравнений
,
равно …
, где
, то функция
дифференцируема в точках, удовлетворяющих условию …
,
, то решение матричного уравнения
имеет вид…
и
, равна …
равен …