Математика – страница 8
За базис трехмерного векторного пространства можно принять совокупность векторов …
Банк выдает 40% всех кредитов юридическим лицам, а 60% – физическим лицам. Вероятность того, что юридическое лицо не погасит в срок кредит, равна 0,1; а для физического лица эта вероятность составляет 0,05. Получено сообщение о невозврате кредита. Тогда вероятность того, что этот кредит не погасило физическое лицо, равна …
Точечная оценка среднего квадратического отклонения нормально распределенного количественного признака равна
. Тогда его интервальная оценка может иметь вид …
. Тогда его интервальная оценка может иметь вид …Проведено пять измерений (без систематических ошибок) некоторой случайной величины (в мм): 5, 6, 7, 8, 10. Тогда несмещенная оценка математического ожидания равна …
Из генеральной совокупности извлечена выборка объема
, полигон частот которой имеет вид:

Тогда значение параметра
равно …
, полигон частот которой имеет вид:
Тогда значение параметра
равно …Таблица истинности для формулы
представляет собой …
представляет собой …Ранг матрицы
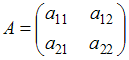
равен двум, если …
равен двум, если …Матрицы
и
имеют одинаковую размерность. Если
– единичная матрица того же размера, что и матрицы
и
, и матрица
, то верно равенство …
и
имеют одинаковую размерность. Если
– единичная матрица того же размера, что и матрицы
и
, и матрица
, то верно равенство …Решение системы
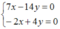
может иметь вид …
может иметь вид …
, 7, 7, 8, 9 равна 4. Тогда значение
равно …

и
. Тогда разность множеств
равна …
, где
и
. Тогда элемент
равен …