Математика – страница 66
К кривой
в точке с абсциссой
проводится касательная, а в точке с абсциссой
проводится нормаль.
Тогда сумма координат точки пересечения этих двух прямых равна …
в точке с абсциссой
проводится касательная, а в точке с абсциссой
проводится нормаль.Тогда сумма координат точки пересечения этих двух прямых равна …
Относительно обычной операции умножения абелеву (коммутативную) группу образует множество …
В ящике содержатся 20 деталей, изготовленных на заводе № 1; 30 деталей, изготовленных на заводе № 2; и 50 деталей, изготовленных на заводе № 3. Вероятность того, что деталь, изготовленная на заводе № 1, отличного качества, равна 0,8; на заводе № 2 – равна 0,7, а на заводе № 3 – равна 0,9. Тогда вероятность того, что наудачу извлеченная деталь окажется отличного качества, равна …
Если используя свойства логических операций, упростите формулу (пропозициональную форму)
,
то упрощённая форма примет вид …
,то упрощённая форма примет вид …
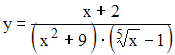
Вертикальной асимптотой графика функции
является прямая …
является прямая …Уравнение
определяет окружность с центром в точке …
определяет окружность с центром в точке …Точка
задана в прямоугольной системе координат.
Тогда ее полярные координаты
, при условии, что полюс совпадает с началом координат прямоугольной системы, а полярная ось – с положительной полуосью абсцисс и обе системы координат правые, равны …
задана в прямоугольной системе координат. Тогда ее полярные координаты
, при условии, что полюс совпадает с началом координат прямоугольной системы, а полярная ось – с положительной полуосью абсцисс и обе системы координат правые, равны …Для доказательства свойства склеивания
была построена сокращённая таблица истинности, в которой значение "истина" обозначено буквой И, а значение "ложь" – буквой Л.

В этой таблице недостаёт двух строк.
Тогда утерянными строками являются …
была построена сокращённая таблица истинности, в которой значение "истина" обозначено буквой И, а значение "ложь" – буквой Л. 
В этой таблице недостаёт двух строк.
Тогда утерянными строками являются …
Пусть
– симметрическая группа, построенная на базе множества
. Бинарная операция в этой группе обозначена символом
.
Если
и
, а
, то произведение
равно …
– симметрическая группа, построенная на базе множества
. Бинарная операция в этой группе обозначена символом
.Если
и
, а
, то произведение
равно …
и
– модуль и главное значение аргумента комплексного числа
, то величина
равна …
на отрезок
может быть задано функцией …
и
результатом выполнения операций
является множество …
на интервал
может быть задано функцией …
при
на плоскости
задает …