Математика – страница 6
Для проверки нулевой гипотезы
при заданном уровне значимости
выдвинута конкурирующая гипотеза
. Тогда область принятия гипотезы может иметь вид …
при заданном уровне значимости
выдвинута конкурирующая гипотеза
. Тогда область принятия гипотезы может иметь вид …Размах варьирования вариационного ряда –1, 0, 2, 3, 4, 5, 7, 8, 10, 12, 14 равен …
Выборочное уравнение прямой линии регрессии
на
имеет вид
, а выборочные средние квадратические отклонения равны:
. Тогда выборочный коэффициент корреляции
равен …
на
имеет вид
, а выборочные средние квадратические отклонения равны:
. Тогда выборочный коэффициент корреляции
равен …Выборочное уравнение прямой линии регрессии
на
имеет вид
. Тогда выборочное среднее признака
равно …
на
имеет вид
. Тогда выборочное среднее признака
равно …Дан доверительный интервал
для оценки математического ожидания нормально распределенного количественного признака. Тогда при уменьшении объема выборки этот доверительный интервал может принять вид …
для оценки математического ожидания нормально распределенного количественного признака. Тогда при уменьшении объема выборки этот доверительный интервал может принять вид …Соотношением вида
можно определить …
можно определить …За базис четырехмерного векторного пространства можно принять совокупность векторов …
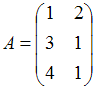
Ранг матрицы
равен …
равен …Дисперсия дискретной случайной величины
, заданной законом распределения вероятностей:

равна 0,06. Тогда значение
равно …
, заданной законом распределения вероятностей:
равна 0,06. Тогда значение
равно …В круг радиуса 8 помещен меньший круг радиуса 5. Тогда вероятность того, что точка, наудачу брошенная в больший круг, попадет также и в меньший круг, равна …
:
в выборке равна …
:
:
равна …
размерностью 3´2 на матрицу
существует, если размерность матрицы
равна …