Математика – страница 56


Даны два вектора: Изображение вопроса Даны два вектора:  и , где , , угол между векторам... и Изображение вопроса Даны два вектора:  и , где , , угол между векторам..., где Изображение вопроса Даны два вектора:  и , где , , угол между векторам..., Изображение вопроса Даны два вектора:  и , где , , угол между векторам..., угол между векторами Изображение вопроса Даны два вектора:  и , где , , угол между векторам... и Изображение вопроса Даны два вектора:  и , где , , угол между векторам... равен Изображение вопроса Даны два вектора:  и , где , , угол между векторам.... Тогда скалярное произведение векторов Изображение вопроса Даны два вектора:  и , где , , угол между векторам... и Изображение вопроса Даны два вектора:  и , где , , угол между векторам... будет равно …

Дан параллелограмм Изображение вопроса Дан параллелограмм . Векторы , . Тогда вектор  име.... Векторы Изображение вопроса Дан параллелограмм . Векторы , . Тогда вектор  име..., Изображение вопроса Дан параллелограмм . Векторы , . Тогда вектор  име.... Тогда вектор Изображение вопроса Дан параллелограмм . Векторы , . Тогда вектор  име... имеет координаты …


Действительный корень уравнения Изображение вопроса Действительный корень уравнения  принадлежит интер... принадлежит интервалу …

Интерполяционный многочлен Лагранжа второй степени Изображение вопроса Интерполяционный многочлен Лагранжа второй степени... может быть составлен по таблице значений функции Изображение вопроса Интерполяционный многочлен Лагранжа второй степени... вида …


Амплитуда гармонических колебаний равна Изображение вопроса Амплитуда гармонических колебаний равна ; угловая ...; угловая частота равна Изображение вопроса Амплитуда гармонических колебаний равна ; угловая ... рад.; а начальная фаза равна Изображение вопроса Амплитуда гармонических колебаний равна ; угловая .... Тогда смещение колеблющейся точки от нулевого положения при Изображение вопроса Амплитуда гармонических колебаний равна ; угловая ... составляет …

Коэффициент Изображение вопроса Коэффициент  в разложении -периодической функции ,... в разложении Изображение вопроса Коэффициент  в разложении -периодической функции ,...-периодической функции Изображение вопроса Коэффициент  в разложении -периодической функции ,..., Изображение вопроса Коэффициент  в разложении -периодической функции ,...равен …


Дан вектор Изображение вопроса Дан вектор , где , , угол между векторами  и  раве..., где Изображение вопроса Дан вектор , где , , угол между векторами  и  раве..., Изображение вопроса Дан вектор , где , , угол между векторами  и  раве..., угол между векторами Изображение вопроса Дан вектор , где , , угол между векторами  и  раве... и Изображение вопроса Дан вектор , где , , угол между векторами  и  раве... равен Изображение вопроса Дан вектор , где , , угол между векторами  и  раве.... Тогда модуль вектора Изображение вопроса Дан вектор , где , , угол между векторами  и  раве...будет равен …

Даны два вектора: Изображение вопроса Даны два вектора:  и . Если , то вектор  равен ... и Изображение вопроса Даны два вектора:  и . Если , то вектор  равен .... Если Изображение вопроса Даны два вектора:  и . Если , то вектор  равен ..., то вектор Изображение вопроса Даны два вектора:  и . Если , то вектор  равен ... равен …


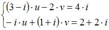
14 Если Изображение вопроса Если  и  являются решением системы линейных уравне... и Изображение вопроса Если  и  являются решением системы линейных уравне... являются решением системы линейных уравнений Изображение вопроса Если  и  являются решением системы линейных уравне..., то Изображение вопроса Если  и  являются решением системы линейных уравне... равно …

Дан треугольник Изображение вопроса Дан треугольник . Точка  является серединой отрезк.... Точка Изображение вопроса Дан треугольник . Точка  является серединой отрезк... является серединой отрезка Изображение вопроса Дан треугольник . Точка  является серединой отрезк.... Векторы Изображение вопроса Дан треугольник . Точка  является серединой отрезк..., Изображение вопроса Дан треугольник . Точка  является серединой отрезк.... Тогда вектор Изображение вопроса Дан треугольник . Точка  является серединой отрезк... имеет координаты …