Математика – страница 53
Линейный оператор
отображает базис
в векторы:
;
;
. Тогда матрица оператора
в этом базисе имеет вид …
отображает базис
в векторы:
;
;
. Тогда матрица оператора
в этом базисе имеет вид …Нулевой набор у формулы
получается при следующих значениях переменных …
получается при следующих значениях переменных …Обратным элементом для матрицы
относительно операции сложения матриц является …
относительно операции сложения матриц является …Пусть
– базис пространства
. Операторы
и
этого пространства заданы матрицами
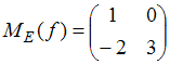
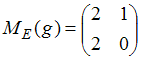
;
. Тогда матрица оператора
равна …
– базис пространства
. Операторы
и
этого пространства заданы матрицами
;
. Тогда матрица оператора
равна …Таблица истинности для формулы
представляет собой …
представляет собой …Отображение, действующее из отрезка
на действительную числовую ось и имеющее обратное отображение, может быть задано функцией …
на действительную числовую ось и имеющее обратное отображение, может быть задано функцией …
при отображении
является …
и
представляет собой …
в точке
имеет вид …
и
в метрике
, где
и
, равно …


и
. Тогда число элементов, принадлежащих их пересечению равно …
называется обратным к элементу
в группе G с единичным элементом
, если …
в точке
к поверхности тора
имеет координаты …