Математика – страница 45
Линейное преобразование
в базисе
имеет матрицу
. Тогда матрица этого оператора в базисе
, где
;
, имеет вид …
в базисе
имеет матрицу
. Тогда матрица этого оператора в базисе
, где
;
, имеет вид …Операция «+» – сложения образует группу на множестве …
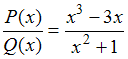
Разложение дробно-рациональной функции
на простые дроби над полем комплексных чисел имеет вид …
на простые дроби над полем комплексных чисел имеет вид …Комплексное число задано в тригонометрической форме
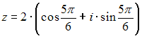
. Тогда его алгебраическая форма записи имеет вид …
. Тогда его алгебраическая форма записи имеет вид …На 10 карточках написаны буквы так, что из этих карточек можно получить слово ИСЧИСЛЕНИЕ. Сколько существует различных 10-буквенных слов, которые можно образовать с помощью этих десяти карточек?
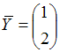
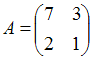
при линейном преобразовании, заданном матрицей
, является вектор …
и 
на полином
равна …
, то
равно …
и
– комплексно-сопряженные числа, то действительная часть функции
, при
, будет равна …
в топологическом пространстве
с топологией
является …
на поверхности
является …