Математика – страница 32
Операции сложения и умножения на действительное число линейного пространства обладают свойством …
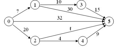
Для сетевого графика, изображенного на рисунке,

критический путь имеет вид
. Тогда значение параметра
не может быть равно …

критический путь имеет вид
. Тогда значение параметра
не может быть равно …При построении выборочного уравнения парной регрессии вычислены выборочный коэффициент корреляции
и выборочные средние квадратические отклонения
. Тогда выборочный коэффициент регрессии
на
равен …
и выборочные средние квадратические отклонения
. Тогда выборочный коэффициент регрессии
на
равен …Медиана вариационного ряда 11, 14, 16, 17, 17, 17, 18, 19, 21, 22, 22, 23, 25, 25 равна …
Промежуток убывания функции
имеет вид …
имеет вид …Область допустимых решений ABCDE задачи линейного программирования имеет вид:

Тогда минимальное значение функции
достигается в точке …

Тогда минимальное значение функции
достигается в точке …Матрица коэффициентов прямых затрат линейной статической модели Леонтьева имеет вид
. Тогда модель межотраслевого баланса представляется системой уравнений …
. Тогда модель межотраслевого баланса представляется системой уравнений …Матрица коэффициентов прямых затрат линейной статической модели Леонтьева имеет вид
, а объемы валовых выпусков представлены вектором
. Тогда объемы промежуточной продукции будут представлены матрицей …
, а объемы валовых выпусков представлены вектором
. Тогда объемы промежуточной продукции будут представлены матрицей …Равновесный объем спроса-предложения равен
, а равновесная цена спроса-предложения равна
. Тогда функции спроса
и предложения
могут иметь вид …
, а равновесная цена спроса-предложения равна
. Тогда функции спроса
и предложения
могут иметь вид …Размах варьирования вариационного ряда 2, 3, 4, 5, 5, 7, 9, 10, 12, 14,
равен 15. Тогда значение
равно …
равен 15. Тогда значение
равно …Область допустимых решений OABC задачи линейного программирования имеет вид:

Тогда максимальное значение функции
достигается в точке …

Тогда максимальное значение функции
достигается в точке …Для сетевого графика, изображенного на рисунке,

длина критического пути равна 58. Тогда значение параметра
может быть равно …

длина критического пути равна 58. Тогда значение параметра
может быть равно …
на отрезке
равно …