Математика – страница 3
Непрерывная случайная величина
задана функцией распределения вероятностей:

Тогда ее дисперсия равна …
задана функцией распределения вероятностей:
Тогда ее дисперсия равна …
В первой урне 5 черных и 6 белых шаров. Во второй урне 3 белых шара и 6 черных шаров. Из первой урны переложили один шар во вторую урну. Тогда вероятность того, что шар, вынутый наудачу из второй урны, будет черным, равна …
В электрическую цепь последовательно включены два элемента, работающие независимо друг от друга. Вероятности отказов элементов равны соответственно 0,1 и 0,15. Тогда вероятность того, что тока в цепи не будет, равна …
Выборочное уравнение прямой линии регрессии
на
имеет вид
. Тогда выборочный коэффициент корреляции может быть равен …
на
имеет вид
. Тогда выборочный коэффициент корреляции может быть равен …В результате измерений некоторой физической величины одним прибором (без систематических ошибок) получены следующие результаты (в мм): 15; 18; 21; 24. Тогда выборочная дисперсия равна …
Дан доверительный интервал
для оценки математического ожидания нормально распределенного количественного признака. Тогда точечная оценка математического ожидания равна …
для оценки математического ожидания нормально распределенного количественного признака. Тогда точечная оценка математического ожидания равна …Банк выдает 70% всех кредитов юридическим лицам, а 30% – физическим лицам. Вероятность того, что юридическое лицо не погасит в срок кредит, равна 0,15; а для физического лица эта вероятность составляет 0,05. Получено сообщение о невозврате кредита. Тогда вероятность того, что этот кредит не погасило юридическое лицо, равна …
Из урны, в которой находятся 6 белых шаров и 4 черных шара, вынимают одновременно 4 шара. Тогда вероятность того, что среди отобранных 3 шара будут белыми, равна …
Проводится n независимых испытаний, в каждом из которых вероятность появления события A постоянна и равна 0,6. Тогда математическое ожидание
и дисперсия
дискретной случайной величины X – числа появлений события A в
проведенных испытаниях равны …
и дисперсия
дискретной случайной величины X – числа появлений события A в
проведенных испытаниях равны …Вероятность поражения цели первым стрелком равна 0,9, а вторым – 0,85. Оба стрелка стреляют одновременно. Тогда вероятность поражения цели, равна …
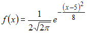
Непрерывная случайная величина
задана плотностью распределения вероятностей:
. Тогда вероятность того, что в результате испытания
примет значение, заключенное в интервале
, можно вычислить как …
задана плотностью распределения вероятностей:
. Тогда вероятность того, что в результате испытания
примет значение, заключенное в интервале
, можно вычислить как …Совокупность векторов
,
,
не может являться базисом трехмерного линейного пространства, если
равно …
,
,
не может являться базисом трехмерного линейного пространства, если
равно …