Математика – страница 27
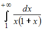
Для сетевого графика, изображенного на рисунке,

длина критического пути равна 42. Тогда значение параметра
равно …

длина критического пути равна 42. Тогда значение параметра
равно …Транспортная задача, заданная распределительной таблицей, имеет вид

Тогда первоначальное распределение поставок, осуществленное по методу «северо-западного угла» будет иметь вид …

Тогда первоначальное распределение поставок, осуществленное по методу «северо-западного угла» будет иметь вид …
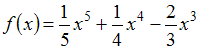
Производственная функция
характеризуется неизменной отдачей от масштаба. Тогда параметры
и
могут принимать значения …
характеризуется неизменной отдачей от масштаба. Тогда параметры
и
могут принимать значения …Даны функции предложения
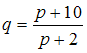
спроса
и, где p – цена товара. Если равновесный объем спроса-предложения равен
, то значение параметра
равно …
спроса
и, где p – цена товара. Если равновесный объем спроса-предложения равен
, то значение параметра
равно …Функция спроса по цене
характеризуется неэластичным спросом. Тогда значение параметра
может быть равно …
характеризуется неэластичным спросом. Тогда значение параметра
может быть равно …Статическая линейная модель межотраслевого баланса Леонтьева представлена системой уравнений:

Тогда матрица коэффициентов прямых затрат равна …

Тогда матрица коэффициентов прямых затрат равна …
Для матрицы
существует обратная, если она равна …
существует обратная, если она равна …На линейном пространстве
задана операция …
задана операция …Минимум функции
равен …
равен …Матрица коэффициентов прямых затрат линейной статической модели Леонтьева имеет вид
, а объемы валовых выпусков представлены вектором
. Тогда объемы конечного продукта будут представлены вектором …
, а объемы валовых выпусков представлены вектором
. Тогда объемы конечного продукта будут представлены вектором …Даны функции спроса
и предложения
, где
– цена товара. Тогда равновесная цена спроса-предложения равна …
и предложения
, где
– цена товара. Тогда равновесная цена спроса-предложения равна …Дана функция спроса по цене
. Тогда спрос будет эластичным при …
. Тогда спрос будет эластичным при …Область допустимых решений ABCDE задачи линейного программирования имеет вид:

Тогда минимальное значение функции
равно …

Тогда минимальное значение функции
равно …
. Тогда седловая точка существует при значении
, равном …
…