Математика – страница 219
1 Кейс-задания: Кейс 2 подзадача 1
В городском парке установлены две осветительные установки A и B, расположенные на расстоянии d = 120 метров друг от друга.
Устройство этих установок таково, что наилучшая освещенность на поверхности парка достигается в точках, отстоящих в два раза дальше от установки A, чем от установки B. Через все такие точки проложили пешеходную дорожку.
Если ввести систему координат так, чтобы начало координат совпадало с расположением установки A, а ось ОХ была направлена в сторону установки B (см. рисунок), то уравнение линии, на которой расположены все такие точки, может быть записано в виде …

В городском парке установлены две осветительные установки A и B, расположенные на расстоянии d = 120 метров друг от друга.
Устройство этих установок таково, что наилучшая освещенность на поверхности парка достигается в точках, отстоящих в два раза дальше от установки A, чем от установки B. Через все такие точки проложили пешеходную дорожку.
Если ввести систему координат так, чтобы начало координат совпадало с расположением установки A, а ось ОХ была направлена в сторону установки B (см. рисунок), то уравнение линии, на которой расположены все такие точки, может быть записано в виде …

2 Кейс-задания: Кейс 2 подзадача 2
В городском парке установлены две осветительные установки A и B, расположенные на расстоянии d = 120 метров друг от друга.
Устройство этих установок таково, что наилучшая освещенность на поверхности парка достигается в точках, отстоящих в два раза дальше от установки A, чем от установки B. Через все такие точки проложили пешеходную дорожку.
Пусть L – длина пешеходной дорожки, которую проложили через все такие точки. Тогда значение выражения
равно …
В городском парке установлены две осветительные установки A и B, расположенные на расстоянии d = 120 метров друг от друга.
Устройство этих установок таково, что наилучшая освещенность на поверхности парка достигается в точках, отстоящих в два раза дальше от установки A, чем от установки B. Через все такие точки проложили пешеходную дорожку.
Пусть L – длина пешеходной дорожки, которую проложили через все такие точки. Тогда значение выражения
равно …Кривая безразличия задана уравнением
а оптимальный набор благ потребителя имеет вид
Тогда предельная норма замены блага Y благом X равна …
а оптимальный набор благ потребителя имеет вид
Тогда предельная норма замены блага Y благом X равна …Пусть
– базис пространства
Операторы f и g этого пространства заданы матрицами
Тогда матрица оператора
равна …
– базис пространства
Операторы f и g этого пространства заданы матрицами
Тогда матрица оператора
равна …На полу лежат три ковра. Площадь одного ковра
, другого
, третьего
. Каждые два ковра перекрываются на площади
. Все три ковра перекрываются на площади
. Тогда площадь пола, покрытая ровно одним ковром равна …
, другого
, третьего
. Каждые два ковра перекрываются на площади
. Все три ковра перекрываются на площади
. Тогда площадь пола, покрытая ровно одним ковром равна …Корень уравнения
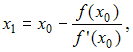
отделён на отрезке
Начальное приближение в методе Ньютона (касательных)
Тогда первое приближение, вычисленное по формуле
по отношению
к корню …
отделён на отрезке
Начальное приближение в методе Ньютона (касательных)
Тогда первое приближение, вычисленное по формуле
по отношению к корню …
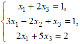
В решении системы линейных алгебраических уравнений
значение x3 равно …
значение x3 равно …В решении системы линейных алгебраических уравнений
значение x1 равно …
значение x1 равно …В ортонормированном базисе заданы векторы
и
Тогда их скалярное произведение будет равно 10 при k равном …
и
Тогда их скалярное произведение будет равно 10 при k равном …Корень уравнения
отделен на отрезке [–1; 0]. Начальное приближение
После выполнения одного шага метода Ньютона (касательных) приближение x1, записанное с тремя знаками после запятой, равно …
отделен на отрезке [–1; 0]. Начальное приближение
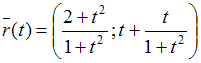
После выполнения одного шага метода Ньютона (касательных) приближение x1, записанное с тремя знаками после запятой, равно …Уравнения асимптот функции
имеют вид …
имеют вид …Количество асимптот кривой
равно …
равно …Для системы
и начального приближения
выполнили два шага метода простой итерации. Тогда второе приближение x2 равно …
и начального приближения
выполнили два шага метода простой итерации. Тогда второе приближение x2 равно …
при линейном преобразовании
является вектор …
Тогда инъективным является отображение …