Математика – страница 21
Общий интеграл дифференциального уравнения
имеет вид …
имеет вид …Непрерывная случайная величина
задана плотностью распределения вероятностей:

Тогда ее дисперсия равна …
задана плотностью распределения вероятностей:
Тогда ее дисперсия равна …
Наладчик обслуживает три станка. Вероятность того, что в течение часа потребует его вмешательства первый станок, равна
; второй –
; третий –
. Тогда вероятность того, что в течение часа потребует вмешательства наладчика только один станок, равна …
; второй –
; третий –
. Тогда вероятность того, что в течение часа потребует вмешательства наладчика только один станок, равна …Игральная кость бросается два раза. Тогда вероятность того, что сумма выпавших очков не меньше девяти, равна …
Прямая задана в параметрическом виде
. Тогда ее общее уравнение имеет вид …
. Тогда ее общее уравнение имеет вид …Геометрическое место точек, удаленных от плоскости
на 2 единицы, может иметь вид …
на 2 единицы, может иметь вид …Уравнение поверхности второго порядка
определяет …
определяет …Наклонная асимптота графика функции
задается уравнением вида …
задается уравнением вида …
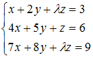
совместна, если
равно …
по векторам
и
имеет вид …
. Если матрица
является диагональной, то матрица
может иметь вид …
,
и
проведена медиана
, длина которой равна …
при
равно …
. Если вектор
, то вектор
может иметь вид …
решение системы
в матричной форме имеет вид …