Математика – страница 207
Функция полезности потребителя имеет вид
. Цена на благо x равна 20, на благо y равна 5, доход потребителя равен 200. Тогда оптимальный набор благ потребителя имеет вид …
. Цена на благо x равна 20, на благо y равна 5, доход потребителя равен 200. Тогда оптимальный набор благ потребителя имеет вид …Даны функции спроса
и предложения
, где р – цена товара. Тогда равновесный объем «спроса-предложения»
равен …
и предложения
, где р – цена товара. Тогда равновесный объем «спроса-предложения»
равен …Дискретная случайная величина Х задана законом распределения вероятностей:

Тогда математическое ожидание случайной величины
равно …

Тогда математическое ожидание случайной величины
равно …Функция полезности потребителя имеет вид
. Цена на благо x равна 10, на благо y равна 20, доход потребителя равен 200. Тогда оптимальный набор благ потребителя имеет вид …
. Цена на благо x равна 10, на благо y равна 20, доход потребителя равен 200. Тогда оптимальный набор благ потребителя имеет вид …Зависимость между издержками производства С и объемом продукции Q выражается функцией
. Тогда предельные издержки
при объеме производства
равны …
. Тогда предельные издержки
при объеме производства
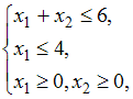
равны …Область допустимых решений задачи линейного программирования имеет вид:

Тогда максимальное значение функции
равно …

Тогда максимальное значение функции
равно …Треугольник АВС с вершинами А(
,3), В(5,1), С(8,2) и основанием ВС является равнобедренным при
равном …
,3), В(5,1), С(8,2) и основанием ВС является равнобедренным при
равном …Дискретная случайная величина Х задана законом распределения вероятностей

Если математическое ожидание
, то значение
равно …

Если математическое ожидание
, то значение
равно …Функция полезности потребителя имеет вид
. Цена на благо x равна 20, на благо y равна 4, доход потребителя равен 200. Тогда оптимальный набор благ потребителя имеет вид …
. Цена на благо x равна 20, на благо y равна 4, доход потребителя равен 200. Тогда оптимальный набор благ потребителя имеет вид …Треугольник АВС с вершинами А(1,-3), В(3,1), С(
,-3) и основанием АС является равнобедренным при наибольшем значении
равном …
,-3) и основанием АС является равнобедренным при наибольшем значении
равном …
при ограничениях
вырождена при
, равном …
, равна …
и
равно 5 при k равном …
. Тогда замена переменной
приводит его к виду …