Математика – страница 204
1 Если
то все значения квадратного корня из z равны …
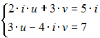
то все значения квадратного корня из z равны …Система
решается матричным способом по формуле
где
B – матрица свободных членов. Тогда A-1 – матрица, обратная к матрице системы A имеет вид …
решается матричным способом по формуле
где
B – матрица свободных членов. Тогда A-1 – матрица, обратная к матрице системы A имеет вид …Множество A содержит 15 элементов, множество B содержит 20 элементов, их объединение
содержит 22 элемента. Сколько элементов содержится в пересечении
этих множеств?
содержит 22 элемента. Сколько элементов содержится в пересечении
этих множеств?В автомобиле 5 мест. Сколькими способами пять человек могут усесться в этот автомобиль, если занять место водителя могут только двое из них?
Даны три вершины параллелограмма:
Тогда четвертая вершина
противолежащая вершине B, имеет координаты …
Тогда четвертая вершина
противолежащая вершине B, имеет координаты …Уравнение кривой, проходящей через точку
поднормаль которой в любой ее точке равна 4 имеет вид …
поднормаль которой в любой ее точке равна 4 имеет вид …Рациональная дробь
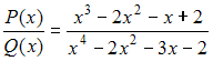
равна дроби …
равна дроби …Интегральные кривые уравнения
имеют вид …
имеют вид …Плоскость
касается сферы с центром в начале координат. Тогда уравнение сферы имеет вид …
касается сферы с центром в начале координат. Тогда уравнение сферы имеет вид …На 6 карточках написаны буквы так, что из этих карточек можно получить слово ЗАДАЧА. Сколько существует различных 6-буквенных слов, которые можно образовать с помощью этих шести карточек?
В поле, определенном множеством из двух элементов
при следующем определении операций:

нейтральным относительно умножения является …
при следующем определении операций:
нейтральным относительно умножения является …
Объединение множеств A и B содержит 25 элементов, их пересечение содержит 12 элементов. Сколько элементов содержится в множестве A, если множество A содержит 18 элементов?
