Математика – страница 196

Модуль градиента скалярного поля Изображение вопроса Модуль градиента скалярного поля  в точке пересече... в точке пересечения оси Oy с поверхностью Изображение вопроса Модуль градиента скалярного поля  в точке пересече... равен …

Угловая частота гармонических колебаний равна Изображение вопроса Угловая частота гармонических колебаний равна  нач... начальная фаза Изображение вопроса Угловая частота гармонических колебаний равна  нач... рад, а смещение колеблющейся точки от нулевого положения
через 2 секунды равно 0,1. Тогда амплитуда гармонических колебаний составляет …

Если подкасательная в любой точке кривой в четыре раза меньше углового коэффициента касательной к этой кривой в любой ее точке,
то уравнение этой кривой может иметь вид …


Элемент Изображение вопроса Элемент  называется обратным к элементу a  в групп... называется обратным к элементу a  в группе G с единичным элементом e, если …

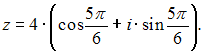
Комплексное число задано в тригонометрической форме Изображение вопроса Комплексное число задано в тригонометрической форм... Тогда алгебраическая форма записи сопряженного к нему числа Изображение вопроса Комплексное число задано в тригонометрической форм... имеет вид …

Дана функция Изображение вопроса Дана функция  Тогда f (3 + 4∙i) равно …... Тогда f (3 + 4∙i) равно …


Даны два множества: Изображение вопроса Даны два множества:  и  Тогда количество целых зна... и Изображение вопроса Даны два множества:  и  Тогда количество целых зна... Тогда количество целых значений принадлежащих пересечению этих множеств равно …

Дано линейное преобразование векторов на плоскости Oxy, которое каждый вектор переводит в вектор той же длины, но противоположно направленный исходному. Тогда матрица A этого преобразования имеет вид …

Для функции Изображение вопроса Для функции  точка z=∞ является …... точка z=∞ является …

Значение кривизны кривой Изображение вопроса Значение кривизны кривой  в точках максимума равно... в точках максимума равно …

Касательную плоскость Изображение вопроса Касательную плоскость  в точке  имеет поверхность ... в точке Изображение вопроса Касательную плоскость  в точке  имеет поверхность ... имеет поверхность …


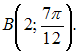
Одна из вершин треугольника находится в полюсе O, две другие имеют координаты Изображение вопроса Одна из вершин треугольника находится в полюсе O, ... и Изображение вопроса Одна из вершин треугольника находится в полюсе O, ... Тогда площадь треугольника AOB равна …