Математика – страница 195
Парабола, вершина которой находится в начале координат, симметрична относительно оси Ox и проходит через точку
Тогда уравнение параболы имеет вид …
Тогда уравнение параболы имеет вид …Точка
лежит на оси абсцисс и равноудалена от точки
и начала координат. Тогда точка M имеет координаты …
лежит на оси абсцисс и равноудалена от точки
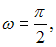
и начала координат. Тогда точка M имеет координаты …Модуль ускорения точки, совершающей гармонические колебания, с амплитудой
угловой частотой
и начальной фазой
в момент времени
равен …
угловой частотой
и начальной фазой
в момент времени
равен …Если угловой коэффициент касательной к кривой в любой ее точке вдвое больше углового коэффициента
радиуса-вектора точки касания, то уравнение этой кривой будет иметь вид …
радиуса-вектора точки касания, то уравнение этой кривой будет иметь вид …
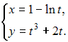
Функция
задана в параметрическом виде 
Тогда производная второго порядка функции
по переменной x имеет вид …
задана в параметрическом виде 
Тогда производная второго порядка функции
по переменной x имеет вид …Материальная точка движется прямолинейно по закону
Тогда ускорение точки равно 4 в момент времени …
Тогда ускорение точки равно 4 в момент времени …Дано комплексное число z = 1+i. Тогда z8 равно …
Даны два множества:
и
Тогда количество целых значений x, принадлежащих симметрической разности множеств A и B, равно …
и
Тогда количество целых значений x, принадлежащих симметрической разности множеств A и B, равно …Уравнение
решается методом хорд. Один из корней принадлежит интервалу
Тогда первое приближение x1 к точному корню x* будет вычисляться по формуле …
решается методом хорд. Один из корней принадлежит интервалу
Тогда первое приближение x1 к точному корню x* будет вычисляться по формуле …Дано комплексное число
Тогда z 5 равно …
Тогда z 5 равно …
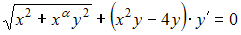
заданное матрицей
является …
, равном …
то
равно …
то коэффициент a4 разложения данной функции в ряд Тейлора по степеням
равен …
равна …