Математика – страница 194
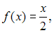
Функция
задана таблично:

Тогда площадь фигуры, ограниченной графиком многочлена, интерполирующего эту функцию, и осями координат, равна …
задана таблично:
Тогда площадь фигуры, ограниченной графиком многочлена, интерполирующего эту функцию, и осями координат, равна …
8 Если z1 и z2 – корни квадратного уравнения 2z2 + z ∙ i +1= 0, то z1+z2 равно …
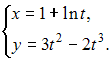
Функция
задана в параметрическом виде
Тогда производная второго порядка функции
по переменной x имеет вид …
задана в параметрическом виде
Тогда производная второго порядка функции
по переменной x имеет вид …13 Если
то коэффициент a3 разложения данной функции в ряд Маклорена равен …
то коэффициент a3 разложения данной функции в ряд Маклорена равен …Экзаменационный билет содержит три вопроса. Вероятность того, что студент ответит на первый вопрос, равна 0,7, на второй – 0,9, на третий – 0,6. Тогда вероятность того, что студент сдаст экзамен, если для этого необходимо ответить, по крайней мере, на два вопроса, равна …
-периодической функции
равен …
и
справедливо отношение …
в евклидовом пространстве со стандартным скалярным произведением равна
при k равном …
решения задачи Коши
в окрестности точки
имеет вид …
равно …