Математика – страница 185
Математическое ожидание дискретной случайной величины X, заданной законом распределения вероятностей:

равно 4,4. Тогда значение вероятности p2 равно …

равно 4,4. Тогда значение вероятности p2 равно …
Из генеральной совокупности извлечена выборка объема
, гистограмма относительных частот которой имеет вид

Тогда статистическое распределение выборки можно определить как …
, гистограмма относительных частот которой имеет вид
Тогда статистическое распределение выборки можно определить как …
При построении выборочного уравнения парной регрессии вычислены выборочный коэффициент корреляции
и выборочные средние квадратические отклонения
Тогда выборочный коэффициент регрессии X на Y равен …
и выборочные средние квадратические отклонения
Тогда выборочный коэффициент регрессии X на Y равен …Коэффициент a0 в разложении в ряд Фурье функции
равен …
равен …Точка совершает гармонические колебания вдоль оси Ox с частотой
Тогда уравнение этих колебаний может иметь вид …
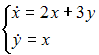
Тогда уравнение этих колебаний может иметь вид …Для задачи Коши
выполнен один шаг получения приближенного решения методом Эйлера - Коши с шагом 

Тогда значение y1, записанное с двумя знаками после запятой, равно …
выполнен один шаг получения приближенного решения методом Эйлера - Коши с шагом 

Тогда значение y1, записанное с двумя знаками после запятой, равно …
Функция
представлена таблицей:

Тогда график многочлена, интерполирующего эту функцию, пересекает ось
в точке
с абсциссой …
представлена таблицей:
Тогда график многочлена, интерполирующего эту функцию, пересекает ось
в точке с абсциссой …
действует по правилу:
Тогда f ([0, 2]) имеет вид …
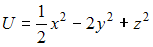
и
Если матрица
вырожденная, то значение a равно …
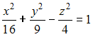
пересекается с поверхностью
в точке с координатами …
Тогда a4 равно …
равен вектору
в точке …
где A1(x1, y1) и
уравнение высоты, проведенной из вершины C, имеет вид …