Математика – страница 184
Дискретная случайная величина X задана законом распределения вероятностей:

И вероятность
Тогда значения a, b и c могут быть равны …

И вероятность
Тогда значения a, b и c могут быть равны …Область допустимых решений ABCDE задачи линейного программирования имеет вид:

Тогда максимальное значение функции
достигается
в точке …

Тогда максимальное значение функции
достигается в точке …
Выборочное уравнение прямой линии регрессии Y на X имеет вид
Тогда выборочное среднее признака Y равно …
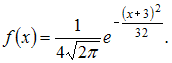
Тогда выборочное среднее признака Y равно …Непрерывная случайная величина X задана плотностью распределения вероятностей
Тогда математическое ожидание a и среднее квадратическое отклонение
этой случайной величины равны …
Тогда математическое ожидание a и среднее квадратическое отклонение
этой случайной величины равны …Статическая линейная модель Леонтьева многоотраслевой экономики продуктивна. Тогда матрица коэффициентов прямых затрат может иметь вид …
Матрица коэффициентов прямых затрат линейной статической модели Леонтьева имеет вид
, а объемы валовых выпусков представлены вектором
. Тогда объемы конечного продукта будут представлены вектором …
, а объемы валовых выпусков представлены вектором
. Тогда объемы конечного продукта будут представлены вектором …Матрица коэффициентов прямых затрат линейной статической модели Леонтьева имеет вид
. Тогда модель межотраслевого баланса представляется системой уравнений …
. Тогда модель межотраслевого баланса представляется системой уравнений …Из генеральной совокупности извлечена выборка объема n = 114, полигон частот которой имеет вид:

Тогда число вариант
в выборке равно …

Тогда число вариант
в выборке равно …Экзаменационный билет содержит три вопроса. Вероятность того, что студент ответит на первый вопрос, равна 0,8, на второй – 0,9, на третий – 0,7. Тогда вероятность того, что студент ответит на все три вопроса, равна …
Область допустимых решений ABCD задачи линейного программирования имеет вид:

Тогда максимальное значение функции
равно …

Тогда максимальное значение функции
равно …Для сетевого графика, изображенного на рисунке,

длина критического пути равна
. Тогда значение параметра
равно …

длина критического пути равна
. Тогда значение параметра
равно …На рисунке

изображена геометрическая интерпретация метода приближённого вычисления определенного интеграла, называемого методом …

изображена геометрическая интерпретация метода приближённого вычисления определенного интеграла, называемого методом …
Плоская мера отрезка [0; 1], лежащего на оси Ox в плоскости Oxy равна …
изображенного на рисунке равна …