Математика – страница 181
Из генеральной совокупности извлечена выборка объема n = 100:

Тогда относительная частота варианты
равна …

Тогда относительная частота варианты
равна …Дан доверительный интервал (20,2; 25,4) для оценки математического ожидания нормально распределенного количественного признака при известном среднем квадратическом отклонении генеральной совокупности. Тогда при увеличении объема выборки в четыре раза этот доверительный интервал примет вид …
Выборочное уравнение прямой линии регрессии X на Y имеет вид
Тогда выборочный коэффициент корреляции может быть равен …
Тогда выборочный коэффициент корреляции может быть равен …Матрица коэффициентов прямых затрат линейной статической модели Леонтьева имеет вид
а объемы валовых выпусков представлены вектором
Тогда объемы промежуточной продукции будут представлены матрицей …
а объемы валовых выпусков представлены вектором
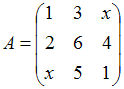
Тогда объемы промежуточной продукции будут представлены матрицей …Для матрицы
не существует обратной, если значение x равно …
не существует обратной, если значение x равно …Проводится n независимых испытаний, в каждом из которых вероятность появления события A постоянна и равна 0,6. Тогда математическое ожидание M(X) и дисперсия D(X) дискретной случайной величины X – числа появлений события A в
проведенных испытаниях равны …
проведенных испытаниях равны …В группе 15 студентов, из которых 6 отличников. По списку наудачу отобраны 5 студентов. Тогда вероятность того, что среди отобранных студентов нет отличников, равна …
Выборочное уравнение прямой линии регрессии Y на X имеет вид
Тогда выборочный коэффициент корреляции может быть равен …
Тогда выборочный коэффициент корреляции может быть равен …Мода вариационного ряда 1, 1, 2, 2, 2, 3, 3, 4, 5, 5, 5, xi, 7, 7, 7, 8, 8, 10, 11 равна 5. Тогда значение xi равно …
Дан доверительный интервал (4,26;9,49) для оценки среднего квадратического отклонения нормально распределенного количественного признака. Тогда при увеличении надежности (доверительной вероятности) оценки доверительный интервал может принять вид …
В линейной статической модели Леонтьева объемы конечного продукта представлены вектором
матрица коэффициентов полных затрат имеет вид
Тогда объемы валовых выпусков будут представлены вектором …
матрица коэффициентов полных затрат имеет вид
Тогда объемы валовых выпусков будут представлены вектором …Функция полезности потребителя имеет вид
а бюджетное ограничение
Тогда оптимальное значение полезности равно …
а бюджетное ограничение
Тогда оптимальное значение полезности равно …Дискретная случайная величина X задана законом распределения вероятностей:

Тогда вероятность
равна …

Тогда вероятность
равна …Внутрь круга радиуса 5 наудачу брошена точка. Тогда вероятность того, что точка окажется внутри вписанного в круг равностороннего треугольника, равна …
при
равен …