Математика – страница 175
Точное значение числа А заключено в границах:
. Тогда предельная относительная погрешность
(в процентах) равна …
. Тогда предельная относительная погрешность
(в процентах) равна …Функция
представлена таблицей

Методом кусочно-линейной интерполяции находится значение
, где
. Известно, что на отрезке
производная 2-го порядка заданной функции имеет максимальное (по модулю) значение, равное 22.
Тогда погрешность вычисления значения
не превышает …
представлена таблицей
Методом кусочно-линейной интерполяции находится значение
, где
. Известно, что на отрезке
производная 2-го порядка заданной функции имеет максимальное (по модулю) значение, равное 22.Тогда погрешность вычисления значения
не превышает …Пусть
– множество всех натуральных чисел. На множестве
введено бинарное отношение
следующим образом:
, если
.
Тогда истинным является высказывание:
– множество всех натуральных чисел. На множестве
введено бинарное отношение
следующим образом:
, если
.Тогда истинным является высказывание:
В базисе
трехмерного векторного пространства задан вектор
. Тогда в базисе
вектор
имеет координаты …
трехмерного векторного пространства задан вектор
. Тогда в базисе
вектор
имеет координаты …Область определения функции
изображена на рисунке …
изображена на рисунке …Из представленных метрических пространств полным не является пространство…
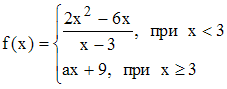
Функция
будет непрерывной во всех точках числовой прямой при значении a, равном …
будет непрерывной во всех точках числовой прямой при значении a, равном …Даны три вершины параллелограмма
,
,
. Тогда четвертая вершина
, противолежащая вершине В, имеет координаты …
,
,
. Тогда четвертая вершина
, противолежащая вершине В, имеет координаты …Дана матрица
. Если Е – единичная матрица того же размера, что и матрица
, то решение матричного уравнения
имеет вид …
. Если Е – единичная матрица того же размера, что и матрица
, то решение матричного уравнения
имеет вид …
и
. Тогда решение матричного уравнения
имеет вид …
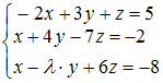
совместна при
, не равном …
.
равен …
через грань
куба
,
,
в направлении внешней нормали равен …