Математика – страница 171
Зависимость между себестоимостью продукции C и объемом производства Q выражается как
. Тогда коэффициент эластичности себестоимости при объеме производства
равен …
. Тогда коэффициент эластичности себестоимости при объеме производства
равен …Если выполняется равенство
, то значение х равно …
, то значение х равно …Дано уравнение прямой в общем виде
. Тогда угловой коэффициент прямой линии, перпендикулярной заданной прямой линии, равен …
. Тогда угловой коэффициент прямой линии, перпендикулярной заданной прямой линии, равен …Функция
представлена таблицей

Используя кусочно-линейную интерполяцию, следует вычислить значение функции в точке
.
Тогда значение
равно …
представлена таблицей
Используя кусочно-линейную интерполяцию, следует вычислить значение функции в точке
.Тогда значение
равно …


.
, то коэффициент
(при
) разложения данной функции в ряд Маклорена равен …
. Тогда обратная матрица
равна …
равен единице при
, равном …
и B размера
. Тогда матрица
будет иметь размер …
с использованием приближенной формулы
с точностью до 0,01 равно …
решается задача Коши
.
искомой функции равно …
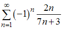
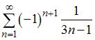
, равен …
со стандартным скалярным произведением угол
между векторами
и
равен …
, удовлетворяющий заданной таблице значений,
решать задачу Коши
,
искомой функции будет равно …