Математика – страница 166
Даны две точки
и
. Тогда уравнение плоскости, проходящей через точку K перпендикулярно вектору
, имеет вид …
и
. Тогда уравнение плоскости, проходящей через точку K перпендикулярно вектору
, имеет вид …Если миноры матрицы
, составленные из элементов, расположенных в левом верхнем углу последовательно равны
,
,
, то ее ранг равен…
, составленные из элементов, расположенных в левом верхнем углу последовательно равны
,
,
, то ее ранг равен…Горизонтальной асимптотой графика функции
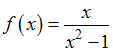
является прямая …
является прямая …Значение выражения
равно …
равно …Область допустимых решений
задачи линейного программирования имеет вид:

Тогда максимальное значение функции
достигается в точке …
задачи линейного программирования имеет вид:
Тогда максимальное значение функции
достигается в точке …График функции
обращён выпуклостью вверх на промежутке …
обращён выпуклостью вверх на промежутке …Область допустимых решений
задачи линейного программирования имеет вид:

Тогда максимальное значение функции
равно …
задачи линейного программирования имеет вид:
Тогда максимальное значение функции
равно …
. Если Е – единичная матрица того же размера, что и матрица
, то матрица
равна …
представлена в области сходимости рядом Маклорена. Тогда коэффициент при выражении
равен …
равен единице при
, равном …
в его точке с абсциссой
, равен …
и
. Тогда
…
, то матрица
равна ……
для матриц
и
и
. Тогда произведение матриц
равно …